【高考】测控技术与仪器专业介绍及录取分数线
专业介绍
测控技术与仪器是研究信息的获取和处理,以及对相关要素进行控制的理论与技术;是电子、光学、精密机械、计算机、电力及自动控制技术等多学科互相渗透而形成的一门高新技术密集型综合学科。它的专业面广,小到生产过程自动控制,大到火箭卫星的发射及监控。很多同学认为这属于制造业,实际上由于对自动控制及精度的严格要求,它归于测控技术与仪器专业。
培养目标
该专业培养具备精密仪器设计制造以及测量与控制方面基础知识与应用能力,能在国民经济各部门从事测量与控制领域内有关技术、仪器与系统的设计制造、科技开发、应用研究、运行管理等方面的高级工程技术人才。
培养要求
测控技术与仪器专业学生主要学习精密仪器的光学、机械与电子学基础理论,测量与控制理论和有关测控仪器的设计方法,受到现代测控技术和仪器应用的训练,具有该专业测控技术及仪器系统的应用及设计开发能力。
主干课程
电工学、电子技术基础、传感器原理及应用、微机原理及应用、控制工程基础、信号与测试系统、智能机械设计、数字化测控技术、精密仪器设计、测控电路设计、智能仪器设计、微机电系统等。
学科要求
该专业对物理科目要求较高。该专业适合对精密仪器研究、设计有兴趣的学生就读。
知识能力
1、具有较扎实的自然科学基础,较好的人文、艺术和社会科学基础及正确运用本国语言、文字的表达能力
2、较系统地掌握该专业领域宽广的技术理论基础知识,主要包括机械学、电工电子学、光学、传感器技术、测量与控制、市场经济及企业管理等基础知识
3、掌握光、机、电、计算机相结合的当代测控技术和实验研究能力,具有现代测控系统与仪器的设计、开发能力
4、具有较强的外语应用能力
5、具有较强的自学能力、创新意识和较高的综合素质。
学科排名



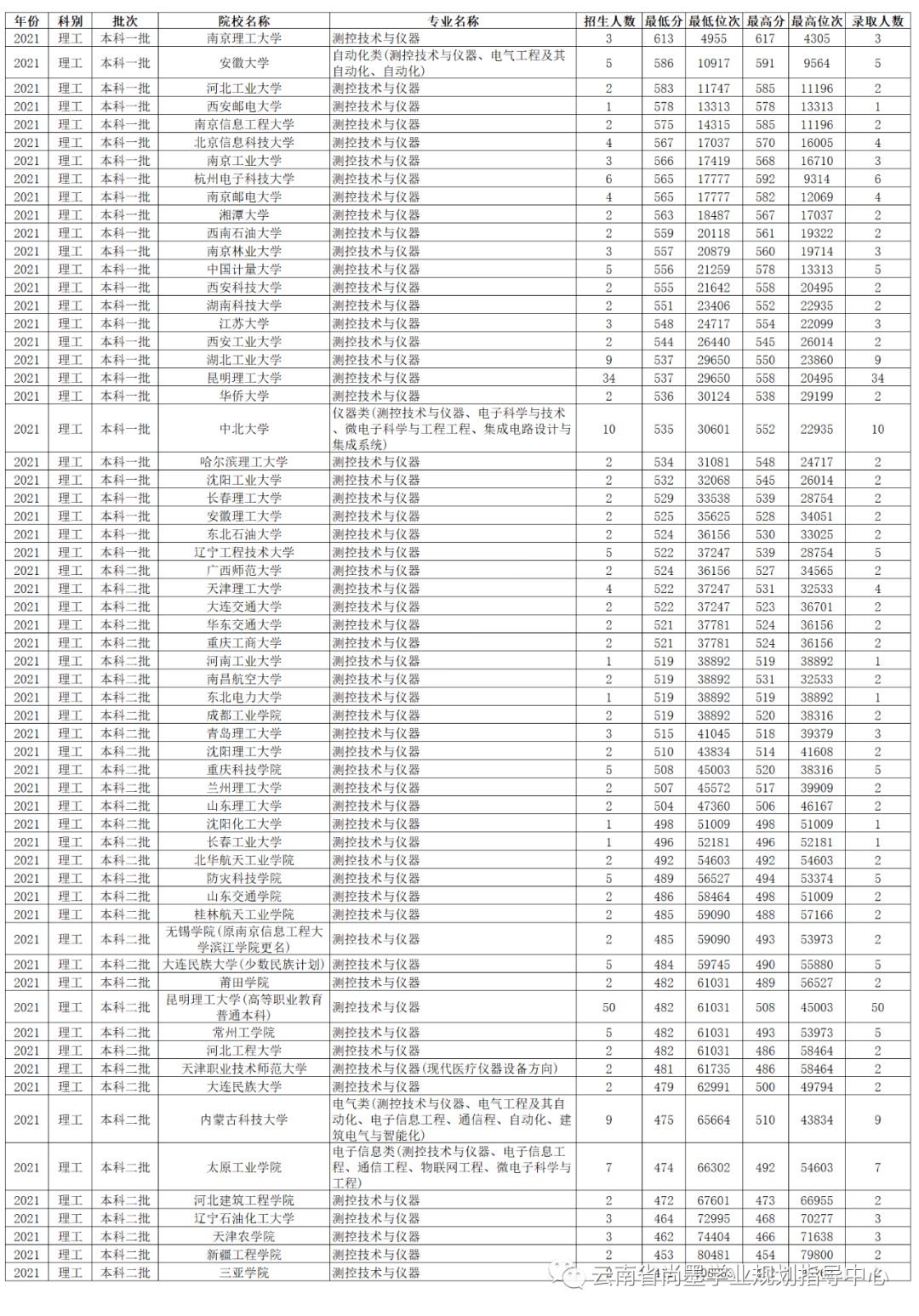
2021年录取分数线

就业方向 本专业学生毕业后主要到国民经济各部门从事测量与控制领域内有关技术、仪器与系统的设计制造、科技开发、应用研究、运行管理等方面的工作。主要有智能仪器仪表方向、测试计量技术与仪器方向和计算机测控技术方向、考研。 近5年平均薪资
推荐
-
-
QQ空间
-
新浪微博
-
人人网
-
豆瓣
